
The first time I heard the term “click chemistry” was in 2005 from one of our seniors who just returned from her postdoctoral study in that field. Out of curiosity I asked, “It sounds like a plastic clip joining with a buckle. Is this chemistry that much easier?”. She smiled and replied, “Yes, it is. In this case the molecules are joining rapidly together just like sound ‘click’. But to find out a reaction of this kind is not easy at all”. Indeed, making things simpler is the complex task in this world.
The term “click chemistry” was coined by Prof. Barry Sharpless in 2001 to demonstrate ‘near-perfect’ reactions for the synthesis of desired functionality1. In his article Sharpless et al described a series of reactions and explained the philosophy of “click chemistry”.
”… Taking our cue from nature’s approach, we address here the development of a set of powerful, highly reliable, and selective reactions for the rapid synthesis of useful new compounds and combinatorial libraries through heteroatom links (C-X-C), an approach we call ‘click chemistry’……” -Sharpless1
Synthesis of a molecule in an uncomplicated way is the dream of any chemist. If a reaction is safe, selective, cost effective, robust, atom-economic, and supportive to other functional groups has various applicability in diverse fields viz. polymer, drug discovery, biochemistry, material science and more. This article will focus on 1,2,3-triazoles synthesis and its application as an example of click reaction in due course.
Inception of click reaction and the beginning of a new era:
Coupling between azide and alkyne for the synthesis of 1,2,3-triazole derivatives is one of the most atom economic reactions (Scheme-1), i.e., all the atoms (both the reactants) are taking part in product formation. During 1950s-70s Rolf Huisgen studied a series of 1,3-dipolar azide-alkyne cycloaddition reactions for the synthesis of 1,2,3-triazoles2. Usually it requires elevated temperature, therefore, it’s a high energy demanding process. Moreover, the control of 1,4- and 1,5-regioisomers is challenging and sometimes substrate specific too.
Based on the utility of 1,2,3-triazoles in organic synthesis and drug discovery a facile and regioselective process was on demand.
Scheme-1: Azide-alkyne cycloaddition (1,4- and 1,5-regio isomers of 1,2,3-triazole)
In the beginning of this century, copper(I)-catalyzed azide alkyne cycloaddition (CuAAC) reaction was independently realized by Barry Sharpless3 and Morten Meldal4a. Here Cu(I)-activated terminal alkyne is regiospecifically uniting with the azide and furnished 1,4-disubstituted 1,2,3-triazoles at ambient condition. It has been reported that the reaction works well to a wide range of pH values from 4 to 123. The facile reaction rate at ambient condition clearly indicates the thermodynamic driving force in favor of the product formation. Mechanistic investigation strongly supported the step-wise annealing sequence instead of concerted [3+2] cycloaddition3.
Interestingly Meldal et al observed that the reaction between 2-azidoacetyl chloride with Cu-acetanilide derivative quantitatively produced 1,2,3-triazole instead of alkyl-alkyne ketone derivative (Scheme 2). The high chemo-selectivity enhance the scope as reactive acetyl chloride remained unreactive under this condition5.
Scheme-2:Cu-activated terminal alkyne and chemo-selectivity
The CuAAC has the Key features of the click reaction viz. rapid, selective, high yield, less or no byproduct, and atom-economic etc. This CuAAC also has the advantage of performing in aqueous and organic phase as well as both in solution and solid support. Thus, CuAAC is considered as green chemistry. Due to these advantages CuAAC has been widely applied in organic synthesis, medicinal chemistry, drug discovery, polymer chemistry6a and material science6b etc. A few applications are as follows.
Application of CuAAC click chemistry in drug discovery:
The 1,2,3-triazole derivatives have diverse biological activity e.g., anticancer, antibacterial, antiviral, and anti-HIV etc. The stability of 1,2,3-triazoles in both metabolic and chemical degradations make it more suitable as a potential drug or drug candidate.6c-d
CuAAC promoted triazole formation is used for natural products and drug compound modification. Among the others the three major types of modification involve: (a) to enhance the solubility or bioavailability, (b) to attach a fluorophore or biotin label to the drug at a late stage of the synthesis, and (c) to utilize the chemical space of the compound by diversifying the molecular structure.
Cyclized peptide agonists often show enhanced potency. Meldal et al. synthesized CuAAC promoted intramolecular macro-cyclized peptide agonists (total 17), having three pharmacophores to interact with five melanocortin receptors MC1R-MC5R (Scheme-3)6e. These (MC1R-MC5R) are important receptors considered as potential therapeutic targets owing to their involvement in obesity, metabolism, feeding behavior, and sexual dysfunction6e. Report indicated the cyclized peptide displayed high selectivity towards MC4R receptor which is responsible factor for obesity.
Scheme-3:Solid supported Click Macrocyclization (via CuAAC) reaction for the synthesis of peptide agonist
Here are structures of few drug or drug candidates containing 1,2,3-triazole (3-6; Figure-1) and 1,4-disubstituted-1,2,3-triazole moiety (1,2 and 7; Figure-1)7,8. The CuAAC was vastly applied for the synthesis of 1,4-disubstituted-1,2,3-triazole moiety containing drugs or drug candidates. A few examples are mentioned below:
Figure-1:Structure of marketed therapeutics and active ingredient
(i) Rufinamide (2), an antiepileptic drug for the treatment of Lennox-Gastaut syndrome, has been synthesized using CuAAC by various pharma industries. The key strategy is the cycloaddition of substitute benzyl azide and substituted terminal alkyne via in situ formation of Cu(I) form CuSO4 by ascorbic acid (Scheme-4)7.
Scheme-4:Synthesis of Rufinamide using CuAAC
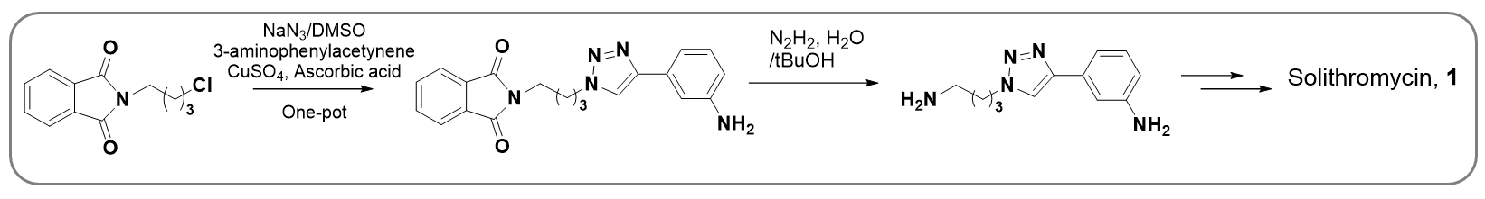
(ii) Solithromycin (1) is a new macrolide-ketolide antibiotic that has potential for the treatment of pediatric community-acquired bacterial pneumonia (CABP). Synthetic route successfully demostrated one-pot alkyl azide formation followed by CuAAC 1,4-disubstituted 1,2,3-triazole synthesis. Deprotection of phthalimide furnished Solithromycin side chain (Scheme-5)9.
Scheme-5:Synthesis of side chain of Solithromycin.
Thus, CuAAC strategy has wide application for the synthesis of polymers, natural products and various active pharmaceutical ingredients e.g., anti-cancer agents like topoisomerase II inhibitor, histone deacetylase inhibitors, protein tyrosine kinase inhibitors etc10
Bioorthogonal chemistry:
The phrase bioorthogonal chemistry was introduced by Carolyn Bertozzi in 200311a,b. The term “represents a class of high-yielding chemical reactions that proceed rapidly and selectively in biological environments without side reactions towards endogenous functional groups.”12
Bertozzi and her group were in pursuit of a class of high-yielding reactions for biomolecule labeling experiment. Labeling of cell surface desired molecule is a useful technique to monitor the activity of cell of interest e.g., cancer cell. As per the requirements, the reaction must proceed rapidly and selectively in a living organism and compatible in the biological environment i.e., in aqueous phase, pH range. Above all the product must be stable in living system.11e
Along with other possibilities (Staudinger ligation etc.), Carolyn Bertozzi identified azide-alkyne cycloaddition could be a prudent choice as the reaction is selective, compatible in aqueous medium and there are very less known alkyne functional groups available in our biological system. The general strategy was installation of azides within the cell surface glycoconjugates by metabolism of an azidosugar. Now these engineered azides will selectively react with the marker compound to produce stable cell-surface adducts13.
In this regard, the Huisgen [3+2] cycloaddition protocol is difficult to perform as the rate is terribly slow at ambient temperature. The challenge of Cu-catalyzed azide alkyne cycloaddition (CuAAC) is the toxicity of copper. It has been observed that the living cell mostly get killed after the introduction of copper into it. Now the question is, how to perform this reaction in a living cell, the most complex reaction vessel? Notably, the complexity escalates higher from single cell, to living organisms like zebra fish, to mice and finally to human.
Way out - Copper Free Azide-Alkyne cycloaddition:
In a report, Prof. Georg Wittig explained that structurally strained alkynes (e.g., cyclooctyne) react with phenylazide “like an explosion” in 196114. Motivated by this idea Bertozzi et al. synthesized a class of cyclooctyne derivatives (strained alkyne) to establish the Cu-free azide-alkyne cycloaddition. They successfully found that the α-gem-difluoro cyclooctyne derivative (abbreviated DIFO) react readily with azide and having comparable reaction kinetics to usual CuAAC (Scheme-6)15a. The successful demonstration inside a living mouse was also reported. This strategy is well known as strained-promoted azide-alkyne cycloaddition (SPAAC). The metabolic targeting mechanism extends the scope of glycobiology and enabled live tracking of exosomes, chondrocytes and cell therapeutics11d. Along with metabolic targeting, the active and the passive targeting are also notable mechanisms for in vivo imaging.
Scheme-6:Schematic for metabolic labeling and detection of cell-surface glycans using Ac4ManNAz and DIFO-based reagents15a.
Other Application of Bioorthogonal chemistry:
Tetrazine ligation with alkene is the another well-known bioorthogonal reaction in use. Although the reaction is fast enough but stability of the product in aqueous medium is a major challenge.
Imaging of diverse biomolecules like protein, DNA, RNA, lipid, glycans, carbohydrates and others are the area of focus of bioorthogonal research. Among the various applications some of them are, treatment of cancer, tumour and variety of disorders by imaging of biomolecule, labeling of human prostate cancer cell15b, drug delivery via “click to release” method, tracking of active enzyme by activity-based protein profiling (ABPP) method etc11e.
Conclusion:
This article has provided a brief of the click chemistry and bioorthogonal chemistry. In recognition of the development and utility of click chemistry and bioorthogonal chemistry, Royal Swedish academy awarded the 2022 Nobel Prize in Chemistry to Barry Sharpless, Morten Meldal and Carolyn Bertozzi. The author would like to take the privilege to tribute to all the researchers involved for the development of this science. Unambiguously it’s true that the toolbox of click reaction and especially bioorthogonal chemistry is small. Therefore, this field has serendipity16 for the future researcher to come up with new ideas for further development of chemistry, biology and human health.
References and further reading:
You are about to leave Aurigene Pharmaceutical Services and affiliates website. Aurigene Pharmaceutical Services assumes no responsibility for the information presented on the external website or any further links from such sites. These links are presented to you only as a convenience, and the inclusion of any link does not imply endorsement by Aurigene Pharmaceutical Services.
If you wish to continue to this external website, click Proceed.
October 24th-26th, 2023 | Barcelona, Spain
Get ready to accelerate your drug’s journey to the market
Add new comment